नीली रोशनी, पर्यावरणीय प्रदूषण और ऑक्सीडेटिव तनाव के बढ़ते प्रभाव के साथ, मानव कोशिकाओं को मुक्त कणों से होने वाले नुकसान से बचाना अत्यंत महत्वपूर्ण हो गया है। सभी प्राकृतिक एंटीऑक्सीडेंटों में से, एंटीऑक्सीडेंट हाइड्रॉक्सीटायरोसोल (cas 10597-60-1) ने अपनी दोहरी एंटीऑक्सीडेंट शक्ति के कारण वैज्ञानिक ध्यान आकर्षित किया है।
इस ब्लॉग पोस्ट में, उच्च शुद्धता वाले हाइड्रॉक्सीटायरोसोल तरल के निर्माता, वायबलाइफ , बिक्री के लिए उपलब्ध एंटीऑक्सीडेंट हाइड्रॉक्सीटायरोसोल के दोहरे एंटीऑक्सीडेंट तंत्र और इसके संरचनात्मक और मार्ग संबंधी सहक्रियात्मक प्रभावों के बारे में जानकारी साझा करेंगे।
एंटीऑक्सीडेंट प्रभावकारिता: इन विट्रो + इन विवो दोहरा सत्यापन
इन विट्रो अध्ययन: हाइड्रॉक्सीटायरोसोल नीली रोशनी से होने वाले ऑक्सीडेटिव तनाव से कोशिकाओं की रक्षा करता है
कोशिका संबंधी प्रयोग आधुनिक ऑक्सीडेटिव तनाव के सबसे सामान्य स्रोतों में से एक, एलईडी नीली रोशनी के संपर्क में आने का अनुकरण करते हैं। जब मानव केराटिनोसाइट्स और फाइब्रोब्लास्ट्स को नीली रोशनी से विकिरणित किया जाता है, तो उनमें प्रतिक्रियाशील ऑक्सीजन प्रजातियों (आरओएस) के उत्पादन में अचानक वृद्धि होती है, जिससे कोशिकीय ऑक्सीकरण, कोलेजन का टूटना और तीव्र फोटोएजिंग होती है।

इन प्रयोगों में, एंटीऑक्सीडेंट हाइड्रॉक्सीटायरोसोल के साथ उपचार ने ROS के अत्यधिक उत्पादन को उल्लेखनीय रूप से दबा दिया और कोशिकीय कोलेजन को क्षरण से बचाया। यह प्रभाव खुराक पर निर्भर था—हाइड्रॉक्सीटायरोसोल की उच्च सांद्रता ROS के अधिक अवरोधन से संबंधित थी।
इस खोज का अर्थ है कि हाइड्रॉक्सीटायरोसोल केवल मौजूदा रेडिकल्स को निष्क्रिय नहीं करता; यह प्रकाश-प्रेरित तनाव के कारण होने वाली ऑक्सीडेटिव श्रृंखला प्रतिक्रियाओं को प्रभावी ढंग से *रोकता* है। कृत्रिम एलईडी प्रकाश के संपर्क में आने पर, हाइड्रॉक्सीटायरोसोल से उपचारित त्वचा कोशिकाओं ने अपनी संरचनात्मक अखंडता बनाए रखी और ऑक्सीडेटिव क्षति का प्रतिरोध किया, जो इसकी मजबूत इन विट्रो एंटीऑक्सीडेंट क्षमता को सिद्ध करता है।
संक्षेप में, हाइड्रॉक्सीटायरोसोल त्वचा और त्वचीय कोशिकाओं के लिए एक ढाल के रूप में कार्य करता है, जो रोजमर्रा के डिजिटल प्रकाश स्रोतों द्वारा उत्पन्न होने वाले छिपे हुए ऑक्सीडेटिव नुकसान से लड़ता है - यह एक ऐसी खोज है जिसका हाइड्रॉक्सीटायरोसोल तरल युक्त सामयिक त्वचा देखभाल और सौंदर्य प्रसाधन फॉर्मूलेशन के लिए सीधा महत्व है।
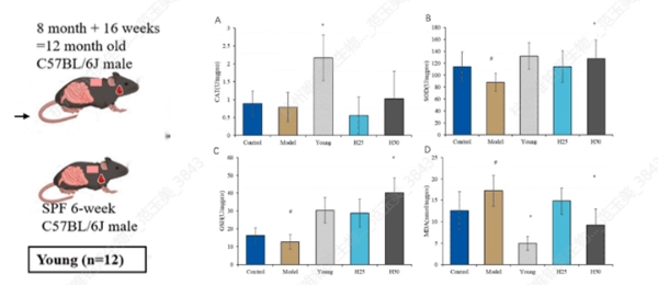
जीवित शरीर पर किए गए अध्ययन: त्वचा की प्राकृतिक सुरक्षा को मजबूत बनाना
पेट्री डिश से परे, पशु मॉडल प्रयोग ठोस *जीवित* प्रमाण प्रदान करते हैं। एजीई (एडवांस्ड ग्लाइकेशन एंड-प्रोडक्ट्स) द्वारा प्रेरित त्वचा के ऑक्सीडेटिव एजिंग के एक मॉडल में, हाइड्रॉक्सीटायरोसोल से उपचारित चूहों में एंटीऑक्सीडेंट एंजाइम गतिविधि में नाटकीय रूप से सुधार देखा गया।
एसओडी (सुपरऑक्साइड डिसम्यूटेस) और जीएसएच-पीएक्स (ग्लूटाथियोन पेरोक्सीडेस) का स्तर काफी बढ़ गया, जबकि एमडीए (मैलोंडिएल्डिहाइड) - जो लिपिड पेरोक्सीडेशन का एक सूचक है - में कमी आई। ये परिणाम दर्शाते हैं कि हाइड्रॉक्सीटायरोसोल न केवल सीधे रेडिकल स्कैवेंजर के रूप में कार्य करता है, बल्कि शरीर की आंतरिक एंटीऑक्सीडेंट प्रणाली को भी बढ़ावा देता है।

इस दोहरी क्रिया ने ऊतकों में ऑक्सीडेटिव तनाव को कम किया और त्वचा की समरूपता को बहाल किया। सरल शब्दों में कहें तो, *हाइड्रॉक्सीटायरोसोल आंतरिक रूप से एंटीऑक्सीडेंट क्षमता को पुनर्जीवित करता है*—यह परिणाम शरीर में इसकी प्रणालीगत प्रभावकारिता को प्रमाणित करता है।
कोशिका और पशु अध्ययनों से यह पुष्टि होती है कि हाइड्रॉक्सीटायरोसोल की एंटीऑक्सीडेंट गतिविधि जैव रासायनिक रूप से शक्तिशाली और जैविक रूप से सार्थक दोनों है, जो इसके व्यापक अनुप्रयोगों की नींव बनाती है।
दोहरी आंतरिक एंटीऑक्सीडेंट क्रियाविधि: संरचना + मार्ग सहक्रिया
संरचनात्मक लाभ: ऑर्थो-डाइहाइड्रॉक्सी फेनोलिक समूह
एंटीऑक्सीडेंट हाइड्रॉक्सीटायरोसोल का असाधारण प्रदर्शन इसकी ऑर्थो-डाइहाइड्रॉक्सी (कैटेकोल) संरचना में निहित है। यह अनूठी संरचना हाइड्रॉक्सीटायरोसोल को कुशलतापूर्वक हाइड्रोजन परमाणु दान करने, मुक्त कणों की श्रृंखला प्रतिक्रियाओं को बाधित करने और प्रतिक्रियाशील प्रजातियों को स्थिर करने में सक्षम बनाती है।
तुलनात्मक आंकड़ों से पता चलता है कि इस संरचना वाले कैटेकोल-प्रकार के यौगिकों में इस संरचना से रहित यौगिकों की तुलना में कहीं अधिक मजबूत रेडिकल-स्केवेंजिंग क्षमता होती है। हाइड्रॉक्सीटायरोसोल के मामले में, इसका अर्थ है कि यह सीधे हाइड्रॉक्सिल रेडिकल, सुपरऑक्साइड रेडिकल और पेरोक्सीनाइट्राइट को निष्क्रिय कर सकता है, जो जैविक प्रणालियों में सबसे हानिकारक ऑक्सीडेटिव एजेंटों में से हैं।
यह संरचनात्मक लाभ नीली रोशनी से प्रेरित ROS के इसके बेहतर *इन विट्रो* दमन की व्याख्या करता है। स्रोत पर ही रेडिकल्स को रोकने की क्षमता हाइड्रोक्सीटायरोसोल को तत्काल सुरक्षात्मक प्रभाव प्रदान करती है—जो एंटीऑक्सीडेंट रक्षा की पहली पंक्ति का निर्माण करता है।

मार्ग विनियमन: एनआरएफ2 सेलुलर रक्षा नेटवर्क को सक्रिय करना
दूसरी प्रक्रिया कोशिकीय और अनुकूली है। हाइड्रॉक्सीटायरोसोल केवल फ्री रेडिकल्स को खत्म करने से कहीं अधिक कार्य करता है—यह Nrf2 सिग्नलिंग पाथवे को भी सक्रिय करता है, जो शरीर की दीर्घकालिक एंटीऑक्सीडेंट रक्षा प्रणाली का संचालन करता है।

हाइड्रॉक्सीटायरोसोल के उपचार के बाद, Nrf2 (न्यूक्लियर फैक्टर एरिथ्रॉइड 2-संबंधित फैक्टर 2) कोशिका केंद्रक में स्थानांतरित हो जाता है और DNA में मौजूद एंटीऑक्सीडेंट प्रतिक्रिया तत्वों (AREs) से जुड़ जाता है। यह सक्रियण SOD, GPx, GR (ग्लूटाथियोन रिडक्टेस) और GST (ग्लूटाथियोन एस-ट्रांसफरेज) सहित एंटीऑक्सीडेंट और विषहरण एंजाइमों की अभिव्यक्ति को प्रेरित करता है।

शोध से पता चलता है कि हाइड्रॉक्सीटायरोसोल से उपचारित कोशिकाओं में, नाभिकीय Nrf2 का स्तर बढ़ता है जबकि कोशिका में इसका स्तर घटता है, जो सफल सक्रियण और स्थानांतरण की पुष्टि करता है। परिणामस्वरूप, GPx, GR और GST एंजाइमों की गतिविधि में उल्लेखनीय वृद्धि होती है।
यह Nrf2 सक्रियण ROS उत्पादन को कम करता है और ऑक्सीडेटिव तनाव को सहन करने के लिए कोशिका की क्षमता को बढ़ाता है - प्रारंभिक रेडिकल एक्सपोजर के बाद भी निरंतर एंटीऑक्सीडेंट सुरक्षा प्रदान करता है।
इस प्रकार, हाइड्रॉक्सीटायरोसोल दो पूरक तंत्र प्रदान करता है:
1. इसकी कैटेकोल संरचना के माध्यम से तत्काल मूलक उदासीनीकरण।
2. एनआरएफ2 सिग्नलिंग के माध्यम से अंतर्जात एंटीऑक्सीडेंट सक्रियण।
यह तालमेल—*संरचना + मार्ग*—एक मजबूत, बहुस्तरीय एंटीऑक्सीडेंट रक्षा प्रणाली का निर्माण करता है, जो अधिकांश पारंपरिक एंटीऑक्सीडेंट से अलग है जो एक ही तंत्र पर निर्भर करते हैं।
हाइड्रॉक्सीटायरोसोल की वैज्ञानिक गुणवत्ता: आपूर्तिकर्ता और विनिर्माण संबंधी जानकारी
प्रयोगशाला के निष्कर्षों को प्रभावी उत्पादों में बदलने के लिए विश्वसनीय स्रोत अत्यंत महत्वपूर्ण हैं। हाइड्रॉक्सीटायरोसोल आपूर्तिकर्ता वायब्लाइफ एक विश्व स्तर पर मान्यता प्राप्त उत्पादक है जो अपनी सटीक किण्वन और जैव-आधारित निष्कर्षण तकनीक के लिए जाना जाता है।
हाइड्रॉक्सीटायरोसोल निर्माता के रूप में, वायब्लीफ कंपनी सभी बैचों में एकसमान शुद्धता, उच्च स्थिरता और अनुपचार योग्य उत्पादन मानकों को सुनिश्चित करती है। इसका हाइड्रॉक्सीटायरोसोल लिक्विड फॉर्मूलेशन, प्रभावशीलता से समझौता किए बिना, स्किनकेयर सीरम, पौष्टिक पेय या आहार पूरकों में आसानी से एकीकृत हो जाता है।
हाइड्रॉक्सीटायरोसोल की बिक्री चाहने वाले ब्रांडों या फॉर्मूलेटरों के लिए, वायबलाइफ न केवल थोक सामग्री बल्कि तकनीकी सहायता, फॉर्मूलेशन मार्गदर्शन और नियामक दस्तावेज़ भी प्रदान करता है। यह वैज्ञानिक पारदर्शिता अनुसंधान और व्यावसायीकरण के बीच सेतु का काम करती है, जिससे प्रमाणित प्रभावकारिता पर आधारित अगली पीढ़ी के एंटीऑक्सीडेंट उत्पादों को विकसित करना आसान हो जाता है।
प्रयोगशाला से जीवन तक: एंटीऑक्सीडेंट हाइड्रॉक्सीटायरोसोल के वास्तविक दुनिया में अनुप्रयोग
अपने दोहरे सत्यापन और सहक्रियात्मक तंत्रों के कारण, हाइड्रॉक्सीटायरोसोल कई क्षेत्रों में एक बहुमुखी घटक बन गया है:
* त्वचा की देखभाल और सौंदर्य प्रसाधन: ऑक्सीडेटिव फोटोएजिंग को रोकता है, कोलेजन की रक्षा करता है और टॉपिकल फॉर्मूलेशन में ब्लू-लाइट स्ट्रेस को शांत करता है।
* कार्यात्मक खाद्य पदार्थ और पेय पदार्थ: हाइड्रॉक्सीटायरोसोल तरल प्राकृतिक एंटीऑक्सीडेंट गतिविधि के साथ पेय पदार्थों और पूरक आहारों को मजबूत बनाता है।
* न्यूट्रास्यूटिकल्स: सिस्टेमिक आरओएस नियंत्रण के माध्यम से हृदय और तंत्रिका संबंधी स्वास्थ्य को सहायता प्रदान करते हैं।
* औषधीय अनुसंधान: ऑक्सीडेटिव क्षति से जुड़े जीर्ण सूजन, चयापचय और तंत्रिका अपक्षयी विकारों के लिए अनुसंधान कार्य किया जा रहा है।
बाह्य और आंतरिक दोनों रूप से एंटीऑक्सीडेंट संतुलन को बहाल करने की इसकी सिद्ध क्षमता, हाइड्रोक्सीटायरोसोल को समग्र सुरक्षा के लिए अगली पीढ़ी के बायोएक्टिव के रूप में स्थापित करती है।
निष्कर्ष
इन विट्रो कोशिकीय परीक्षणों से लेकर इन विवो पशु मॉडलों तक, एंटीऑक्सीडेंट हाइड्रॉक्सीटायरोसोल लगातार ऑक्सीडेटिव तनाव से लड़ने, आरओएस को कम करने और एंजाइमेटिक रक्षा को बढ़ाने की अपनी क्षमता प्रदर्शित करता है। इसके दोहरे एंटीऑक्सीडेंट तंत्र—एक शक्तिशाली संरचनात्मक मुक्त-कण निवारण कोर और एनआरएफ2 रक्षा मार्ग का सक्रियण—आणविक से लेकर प्रणालीगत स्तर तक व्यापक सुरक्षा सुनिश्चित करते हैं।
शोध द्वारा समर्थित और हाइड्रॉक्सीटायरोसोल आपूर्तिकर्ता वायबलाइफ द्वारा सटीकता के साथ उत्पादित, यह प्राकृतिक यौगिक इस बात का उदाहरण है कि कैसे आधुनिक जैव प्रौद्योगिकी और आणविक समझ मिलकर ठोस स्वास्थ्य और सौंदर्य लाभ प्रदान करते हैं।
चाहे स्किनकेयर हो, पोषण हो, या उन्नत वेलनेस फॉर्मूलेशन हो, हाइड्रॉक्सीटायरोसोल बायोएक्टिव एंटीऑक्सीडेंट के भविष्य के लिए एक बेंचमार्क के रूप में खड़ा है - वैज्ञानिक रूप से सिद्ध, संरचनात्मक रूप से शक्तिशाली और जैविक रूप से बुद्धिमान।
चीनी
संयुक्त राज्य अमेरिका
स्पेन
रूसी
फ्रांस
जर्मनी
इतालवी
जापान
अरबी
पुर्तगाली
कोरियाई
थाई
यूनानी
भारत




Leave a Message